SOLUTION: Solve the following limit: lim x→4 (x^2 − 4x/ x^ 2 − 16)

Algebra ->  Equations -> SOLUTION: Solve the following limit: lim x→4 (x^2 − 4x/ x^ 2 − 16)      Log On


   



Question 1174500: Solve the following limit:
lim x→4
(x^2 − 4x/ x^ 2 − 16)

Answer by math_tutor2020(3817) About Me  (Show Source):
You can put this solution on YOUR website!

For a moment, let's completely ignore the limit portion or limit notation.

Let's focus on the expression only. So we'll focus on %28x%5E2-4x%29%2F%28x%5E2-16%29

Simplifying the expression leads to:
%28x%5E2-4x%29%2F%28x%5E2-16%29

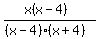
%28x%28x-4%29%29%2F%28x%5E2-16%29

%28x%28x-4%29%29%2F%28%28x-4%29%28x%2B4%29%29

%28x%2Ahighlight%28%28x-4%29%29%29%2F%28highlight%28%28x-4%29%29%28x%2B4%29%29

%28x%2Across%28%28x-4%29%29%29%2F%28cross%28%28x-4%29%29%28x%2B4%29%29

x%2F%28x%2B4%29

Such a simplification is necessary because plugging x = 4 into the original expression leads to a division by zero error
Note how x^2-16 = 4^2 - 16 = 16 - 16 = 0 would be in the denominator if x = 4.

But with the simplified expression x%2F%28x%2B4%29, we can plug in x = 4 just fine
Doing so gets us x%2F%28x%2B4%29+=+4%2F%284%2B4%29+=+4%2F8+=+1%2F2

As x gets closer and closer to x = 4, the value of y+=+x%2F%28x%2B4%29 gets closer and closer to y = 1/2 as we apply the limit. As with all limits, we don't actually arrive at the exact value. We only get closer.

-----------------------------------------------------------------

Answer: 1/2