SOLUTION: 4/(x-1)^2-12/(3x-1)^2=3
Algebra
->
Equations
-> SOLUTION: 4/(x-1)^2-12/(3x-1)^2=3
Log On
Algebra: Equations
Section
Solvers
Solvers
Lessons
Lessons
Answers archive
Answers
Click here to see ALL problems on Equations
Question 1152366
:
4/(x-1)^2-12/(3x-1)^2=3
Answer by
MathLover1(20850)
(
Show Source
):
You can
put this solution on YOUR website!
if
=>
=>
=>
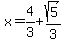
so,
solutions:
or
if
solutions: