SOLUTION: A Norman window is constructed by adjoining a semicircle to the top of ab ordinary rectangular window. The perimeter of the window is 12 feet. The diameter of a circle and the leng

Algebra ->  Equations -> SOLUTION: A Norman window is constructed by adjoining a semicircle to the top of ab ordinary rectangular window. The perimeter of the window is 12 feet. The diameter of a circle and the leng      Log On


   



Question 1134762: A Norman window is constructed by adjoining a semicircle to the top of ab ordinary rectangular window. The perimeter of the window is 12 feet. The diameter of a circle and the length of a rectangle are x, the width is y.
1) Write the area A of the window as a function of x.
2) What dimensions will produce a window of maximum area?

Answer by MathLover1(20850) About Me  (Show Source):
You can put this solution on YOUR website!
given:
The perimeter of the window is 12 feet. The diameter of a circle and the length of a rectangle are x the width is y.
1) Write the area A of the window as a function of x.

The perimeter is 12 ft.
P+=+2y+%2B+x+%2B1%2F2%282pi%2Ar%29+
P=+2y+%2B+x+%2B+pi%28x%2F2%29
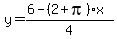
P=+2y+%2B%281+%2Bpi%2F2%29x .......given P=+12.
12=+2y+%2B%281+%2Bpi%2F2%29x.....solve for y
2y+=12-%281+%2Bpi%2F2%29x
y+=6-%28%282+%2Bpi%29x%2F2%29%2F2
y+=6-%28%282+%2Bpi%29x%29%2F4

We find an equation for maximum area.
A+=+xy+%2B%281%2F2%29pi%2Ar%5E2 ......r=x%2F2
A+=+xy+%2B%281%2F2%29pi%2A%28x%2F2%29%5E2

A+=+xy+%2B%281%2F2%29pi%2A%28x%5E2%2F4%29

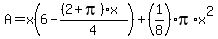
A+=+xy+%2B%281%2F8%29pi%2Ax%5E2

Substitute in for y. Now
A+=+x%286-%28%282+%2Bpi%29x%29%2F4%29+%2B%281%2F8%29pi%2Ax%5E2+
A+=+6x-%281%2F4%29%282+%2Bpi%29x%5E2+%2B%281%2F8%29pi%2Ax%5E2+
A+=+-%28pi%2Ax%5E2%29%2F8+-+x%5E2%2F2+%2B+6x
A+=+-%281%2F8%29+%284+%2B+pi%29+x%5E2%2B+6x->the area A of the window as a function of x

2) What dimensions will produce a window of maximum area?
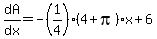
Next compute dA%2Fdx. Set it equal to zero and solve for x.
dA%2Fdx+=+2%28-1%2F8%29%284+%2B+pi%29x%2B6
dA%2Fdx+=+-%281%2F4%29+%284+%2B+pi%29x%2B6
set =+0.

-%281%2F4%29+%284+%2B+pi%29x%2B6=0
%281%2F4%29+%284+%2B+pi%29x=6
+%284+%2B+pi%29x=6%2F%281%2F4%29
%284+%2B+pi%29x=24
x=24%2F%284+%2B+pi%29

x=24%2F%284+%2B+3.14%29+
x=24%2F7.14
x3.35ft
then r=3.35ft%2F2=1.675

Next find y.
y+=%286-%282+%2Bpi%29x%29%2F4
y+=%286-%282+%2B3.14%293.35%29%2F4
y+=%286-5.14%2A3.35%29%2F4
y+=6-%285.14%2A3.35%29%2F4
y1.7ft
dimensions that will produce a window of maximum area are:
x3.35ft
r1.675
y1.7ft

check the perimeter first then see what would be maximum area
12=+2y+%2B%281+%2Bpi%2F2%29x
12=+2%2A1.7+%2B%281+%2B3.14%2F2%293.35
12=+2%2A1.7+%2B%28%282+%2B3.14%29%2F2%293.35
12=+2%2A1.7+%2B%285.14%2A3.35%29%2F2
12=+3.4+%2B8.6095
12=+12.0095
12=+12-> true

now find maximum area
A+=+xy+%2B%281%2F8%29pi%2Ax%5E2+
A+=+3.35%2A1.7+%2B%281%2F8%293.14%2A%283.35%29%5E2

A+=+5.695+%2B%281%2F8%293.14%2A11.2225
A+=+5.695+%2B4.40483125
A+=+5.695+%2B4.40483125
A+=10.0998
A+10ft%5E2