SOLUTION: Set up and solve an equation to answer the question below. Round your answer to the nearest tenth of a percent if necessary. 75.7 is what percent of 140?

Algebra ->  Equations -> SOLUTION: Set up and solve an equation to answer the question below. Round your answer to the nearest tenth of a percent if necessary. 75.7 is what percent of 140?      Log On


   



Question 1131726: Set up and solve an equation to answer the question below. Round your answer to the nearest tenth of a percent if necessary.
75.7 is what percent of 140?

Found 2 solutions by Boreal, MathTherapy:
Answer by Boreal(15235) About Me  (Show Source):
You can put this solution on YOUR website!
divide 140 into 75.7
That gives a decimal answer of 0.5407
Move the decimal two places to the right, and put % after it
54.07%

Answer by MathTherapy(10557) About Me  (Show Source):
You can put this solution on YOUR website!

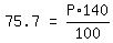
Set up and solve an equation to answer the question below. Round your answer to the nearest tenth of a percent if necessary.
75.7 is what percent of 140?
Correct EQUATION: matrix%281%2C3%2C+75.7%2C+%22=%22%2C+P%2F100+%2A+140%29, with P being the percent.
Solve the above for P.