Question 1127693: find the formula for an exponential function that passes through the two points given.
a) (-1,1/2) and (4,512)
b) (-1,7) and (3,4)
Found 3 solutions by greenestamps, MathLover1, ikleyn: Answer by greenestamps(13200) (Show Source): Answer by MathLover1(20850) (Show Source):
You can put this solution on YOUR website! a) (-1,1/2) and (4,512)
Solved by pluggable solver: Finding the Equation of a Line |
First lets find the slope through the points ( , ) and ( , )
Start with the slope formula (note: ( , ) is the first point ( , ) and ( , ) is the second point ( , ))
Plug in , , , (these are the coordinates of given points)
Subtract (note: if you need help with subtracting or dividing fractions, check out this solver)
Divide the fractions
So the slope is

------------------------------------------------
Now let's use the point-slope formula to find the equation of the line:
------Point-Slope Formula------
where is the slope, and ( , ) is one of the given points
So lets use the Point-Slope Formula to find the equation of the line
Plug in , , and (these values are given)
Rewrite as 
Distribute 
Multiply and to get 
Add to both sides to isolate y
Combine like terms and to get (note: if you need help with combining fractions, check out this solver)
------------------------------------------------------------------------------------------------------------
Answer:
So the equation of the line which goes through the points ( , ) and ( , ) is:
The equation is now in form (which is slope-intercept form) where the slope is and the y-intercept is 
Notice if we graph the equation and plot the points ( , ) and ( , ), we get this: (note: if you need help with graphing, check out this solver)
Graph of through the points ( , ) and ( , )
Notice how the two points lie on the line. This graphically verifies our answer.
|
here is better graph:
b) (-1,7) and (3,4)
Solved by pluggable solver: Finding the Equation of a Line |
First lets find the slope through the points ( , ) and ( , )
Start with the slope formula (note: ( , ) is the first point ( , ) and ( , ) is the second point ( , ))
Plug in , , , (these are the coordinates of given points)
Subtract the terms in the numerator to get . Subtract the terms in the denominator to get 
So the slope is

------------------------------------------------
Now let's use the point-slope formula to find the equation of the line:
------Point-Slope Formula------
where is the slope, and ( , ) is one of the given points
So lets use the Point-Slope Formula to find the equation of the line
Plug in , , and (these values are given)
Rewrite as 
Distribute 
Multiply and to get 
Add to both sides to isolate y
Combine like terms and to get (note: if you need help with combining fractions, check out this solver)
------------------------------------------------------------------------------------------------------------
Answer:
So the equation of the line which goes through the points ( , ) and ( , ) is:
The equation is now in form (which is slope-intercept form) where the slope is and the y-intercept is 
Notice if we graph the equation and plot the points ( , ) and ( , ), we get this: (note: if you need help with graphing, check out this solver)
Graph of through the points ( , ) and ( , )
Notice how the two points lie on the line. This graphically verifies our answer.
|
Answer by ikleyn(52788) (Show Source):
You can put this solution on YOUR website! .
Below find my solution for case a).
find the formula for an exponential function that passes through the two points given.
a) (-1,1/2) and (4,512)
General exponential function formula
y = . (1)
At x= -1, y= formula (1) becomes = (2).
At x= 4, y= 512 formula (1) becomes 512 = (3).
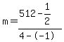
Divide (3) by (2). You will get
= , or, equivalently,
1024 = ,
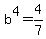
= .
It implies b = 4, so half of the problem is just solved.
Now substitute the found value b= 4 into equation (3). You will get
512 = ,
which implies a = = = 2.
Answer. The function is y = .
Solved.
|
|
|