SOLUTION: Given g(x) = 9x2 + 4,find the following. g(3) = g(-1)= g(0)= g(1/2)= g(c) = g(c+5) =

Algebra ->  Equations -> SOLUTION: Given g(x) = 9x2 + 4,find the following. g(3) = g(-1)= g(0)= g(1/2)= g(c) = g(c+5) =      Log On


   



Question 1127468: Given g(x) = 9x2 + 4,find the following.
g(3) =
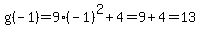
g(-1)=
g(0)=
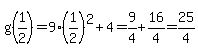
g(1/2)=
g(c) =
g(c+5) =

Answer by MathLover1(20849) About Me  (Show Source):
You can put this solution on YOUR website!

Given g%28x%29+=+9x%5E2+%2B+4,find the following.
g%283%29+=9%2A3%5E2+%2B+4=81%2B4=85
g%28-1%29=9%2A%28-1%29%5E2+%2B+4=9%2B4=13
g%280%29=9%2A0%5E2+%2B+4=0%2B4=4
g%281%2F2%29=9%2A%281%2F2%29%5E2+%2B+4=9%2F4%2B16%2F4=25%2F4
g%28c%29+=+9%2Ac%5E2+%2B+4