SOLUTION: { { { (4x+3)^-2 = (49/16)^-1 } } }

Algebra ->  Equations -> SOLUTION: { { { (4x+3)^-2 = (49/16)^-1 } } }      Log On


   



Question 1124476: { { { (4x+3)^-2 = (49/16)^-1 } } }
Found 2 solutions by josgarithmetic, MathLover1:
Answer by josgarithmetic(39632) About Me  (Show Source):
You can put this solution on YOUR website!
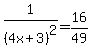
1%2F%284x%2B3%29%5E2=16%2F49

1%2F%284x%2B3%29%5E2=%284%2F7%29%5E2

%284x%2B3%29%5E2=%287%2F4%29%5E2 *
4x%2B3=0%2B-+7%2F4
4x=-3%2B-+7%2F4
x=-3%2F4%2B-+7%2F16
x=-12%2F16%2B-+7%2F16
system%28highlight_green%28x=-19%2F16%29%2Cor%2Chighlight_green%28x=-5%2F16%29%29




*
--------mistake made here---------------------------------
cross%284x%2B3=0%2B-+sqrt%287%29%2F2%29
4x=-3%2B-+sqrt%287%29%2F2
cross%28x=-3%2F4%2B-+sqrt%287%29%2F8%29
----------------------------------------------------------

Answer by MathLover1(20850) About Me  (Show Source):
You can put this solution on YOUR website!
Answer 740789 by josgarithmetic(27564) is WRONG, I double checked it

this is correct answer:

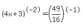
+%284x%2B3%29%5E-2+=+%2849%2F16%29%5E-1+
+1%2F%284x%2B3%29%5E2+=1%2F+%2849%2F16%29%5E1+
+1%2F%284x%2B3%29%5E2+=16%2F49+
+49%2A1+=16%284x%2B3%29%5E2
+49+=16%28%284x%29%5E2%2B2%2A4x%2A3%2B3%5E2%29
+49+=16%2816x%5E2%2B24x%2B9%29
+49+=256x%5E2%2B384x%2B144
+0+=256x%5E2%2B384x%2B144-49
+256x%5E2%2B384x%2B95=0 ...factor completely
+256x%5E2%2B304x%2B80x%2B95=0 ...group
%28256x%5E2%2B80x%29%2B%28304x%2B95%29=0
+16x%2816x%2B5%29%2B19%2816x%2B5%29=0
%2816x+%2B+5%29+%2816x+%2B+19%29+=+0
solutions:
if %2816x+%2B+5%29++=+0->16x=-5->x=-5%2F16
if %2816x+%2B+19%29+=+0->16x=-19->x=-19%2F16