SOLUTION: Write each fraction in terms of the LCM of the denominators. 2x/x^2-81 and x-1/9x-81

Algebra ->  Equations -> SOLUTION: Write each fraction in terms of the LCM of the denominators. 2x/x^2-81 and x-1/9x-81      Log On


   



Question 1116830: Write each fraction in terms of the LCM of the denominators.
2x/x^2-81
and
x-1/9x-81

Answer by josgarithmetic(39633) About Me  (Show Source):
You can put this solution on YOUR website!
Maybe you mean those rational expressions are 2x/(x^2-81) and (x-1)/(9x-81).

2x%2F%28x%5E2-81%29
-
Denominator is %28x-9%29%28x%2B9%29.

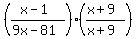
%28x-1%29%2F%289x-81%29
-
Denominator is 9%28x-9%29.


Simplest common denominator would be 9%28x-9%29%28x%2B9%29.


-

%282x%2F%28x%5E2-81%29%29%289%2F9%29=highlight%2818x%2F%289x%5E2-729%29%29


and

%28%28x-1%29%2F%289x-81%29%29%28%28x%2B9%29%2F%28x%2B9%29%29--------you can finish this one.