SOLUTION: The number of inmates N​ (measured in​ thousands) in federal and state prisons can be approximated by the equation N = -2.05x squared + 77.85x + 746, where x is the num

Algebra ->  Equations -> SOLUTION: The number of inmates N​ (measured in​ thousands) in federal and state prisons can be approximated by the equation N = -2.05x squared + 77.85x + 746, where x is the num      Log On


   



Question 1102124: The number of inmates N​ (measured in​ thousands) in federal and state prisons can be approximated by the equation N = -2.05x squared + 77.85x + 746, where x is the number of years since 1990. In what year was the number of inmates expected to be 1,280,600​? THANK YOU!!!
Answer by jim_thompson5910(35256) About Me  (Show Source):
You can put this solution on YOUR website!

N is the number of inmates in thousands. If we wrote N = 2, then that means we have 2000 inmates. Going from 2 to 2000 has us multiply by 1000.

Going in reverse, having 1,280,600 inmates means that N = 1280.6 (divide 1,280,600 by 1000; or move the decimal point 3 spots to the left)

So we need to plug in N = 1280.6 and then solve for x

------------------------------------------------------------------------------------------

N = -2.05x^2+77.85x+746

1280.6 = -2.05x^2+77.85x+746 replace N with 1280.6

1280.6-1280.6 = -2.05x^2+77.85x+746-1280.6 Subtract 1280.6 from both sides

0 = -2.05x^2+77.85x-534.6

-2.05x^2+77.85x-534.6 = 0

------------------------------------------------------------------------------------------

The equation -2.05x^2+77.85x-534.6 = 0 is in the form ax^2+bx+c = 0, where,
a = -2.05
b = 77.85
c = -534.6

Use the quadratic formula to solve. Plug those a,b,c values into the formulas below and simplify

x+=+%28-b%2Bsqrt%28b%5E2-4ac%29%29%2F%282a%29 or x+=+%28-b-sqrt%28b%5E2-4ac%29%29%2F%282a%29

x+=+%28-77.85%2Bsqrt%28%2877.85%29%5E2-4%28-2.05%29%28-534.6%29%29%29%2F%282%28-2.05%29%29 or x+=+%28-77.85-sqrt%28%2877.85%29%5E2-4%28-2.05%29%28-534.6%29%29%29%2F%282%28-2.05%29%29

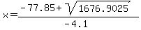
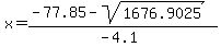
x+=+%28-77.85%2Bsqrt%281676.9025%29%29%2F%28-4.1%29 or x+=+%28-77.85-sqrt%281676.9025%29%29%2F%28-4.1%29

x+=+%28-77.85%2B40.95%29%2F%28-4.1%29 or x+=+%28-77.85-40.95%29%2F%28-4.1%29

x+=+%28-36.9%29%2F%28-4.1%29 or x+=+%28-118.8%29%2F%28-4.1%29

x+=+9 or x+=+28.9756097560976

------------------------------------------------------------------------------------------

The two solutions are x+=+9 or x+=+28.9756097560976

If you want x to be a whole number, then ignore the second solution. In this case, it will take exactly 9 years from 1990 for the inmate population to be at 1,280,600. So this happens in the year 1990+9 = 1999