SOLUTION: simplify the following expression as far as possible. xy + 3x*y + 1 + 2xy* + yx* + 2 + xy. the * represents x squared

Algebra ->  Equations -> SOLUTION: simplify the following expression as far as possible. xy + 3x*y + 1 + 2xy* + yx* + 2 + xy. the * represents x squared       Log On


   



Question 1087782: simplify the following expression as far as possible.
xy + 3x*y + 1 + 2xy* + yx* + 2 + xy.
the * represents x squared

Answer by math_helper(2461) About Me  (Show Source):
You can put this solution on YOUR website!
+xy+%2B+3x%5E2y+%2B+1+%2B+2xy%5E2+%2B+yx%5E2+%2B+2+%2B+xy+
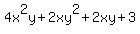
= +4x%5E2y+%2B+2xy%5E2+%2B+2xy+%2B+3+
= +highlight%28+2xy%282x+%2B+y+%2B+1%29+%2B+3+%29+
I don't see any further simplifications.
————————————————————
In response to your 'thank you' message: yes, this expression
3 (x+1) + 4 = 5-3 (x-2)
can be solved for x:
(3x + 3) + 4 = 5 - (3x - 6)       ( it happens both sides had a 3 that could be distributed)
3x + 7  = 5 - 3x + 6              ( combined 3 + 4 on left,  removed paren's on both sides)
3x + 7  = 11 - 3x                 ( combined 5 + 6 on right)
6x + 7  = 11                      ( added 3x to both sides)
6x  =  4                          ( subtracted 7 from both sides)
  x  = 4/6 = 2/3                  ( divided both sides by 6, then reduced the fraction )
—
Check (always a good idea):  
 3(2/3 + 1) + 4 = 2 + 3 + 4 = 9   (left side value)
 5 - 3(2/3 - 2) = 5 - 2 + 6 = 9    (right side value,  matches left side so we're good)