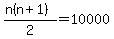
SOLUTION: The sum of the first n integers 1 + 2 + 3 + ... + n =
n(n + 1)/2 a How many numbers must be taken to have a sum greater than one million? b Why can’t the sum ever equal 10
Algebra ->
Equations
-> SOLUTION: The sum of the first n integers 1 + 2 + 3 + ... + n =
n(n + 1)/2 a How many numbers must be taken to have a sum greater than one million? b Why can’t the sum ever equal 10
Log On
Question 1086342: The sum of the first n integers 1 + 2 + 3 + ... + n =
n(n + 1)/2 a How many numbers must be taken to have a sum greater than one million? b Why can’t the sum ever equal 100 000?
You can put this solution on YOUR website!
We can solve for when it equals zero and then take the next largest integer,
Only positive n makes sense in this problem,
or approximately,
So the next largest integer is,
.
.
.
Assume the sum does equal 100000,
Similarly,
Since the is not an integer, there is no hope that the required sum would be an integer.
So it would never equal 100000.
}
Multiply through by 2:
}}}
Use the quadratic formula to find the critical numbers
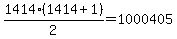
That is approximately 1413.713651, between integers 1413 and 1414
So the sum of the first 1413 positive integers is less than 1000000,
and the sum of the first 1414 integers integers is more than 1000000.
To show this we substitute 1413 and 1414 in ,
-----------------
Why cant the sum ever equal 100000.
Suppose for contradiction, that it can = 100000
}
Multiply through by 2:
}}}
Use the quadratic formula to solve for n
That's not a positive integer, so that contradicts
our assumption that it could equal to a positive
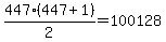
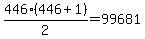
integer. So the sum of the first 446 integers is
less than 100000 and the sum of the first 447
integers is more than 100000.
To show this we substitute 446 and 447 in , .
So the sum can never be 100000.
Edwin