SOLUTION: Find the value of the following integrals  Cos^2x+3cosx+2/2+cosx dx  ( e^× + 1) ( e^x - 1 ) dx intervals between 0 to 1

Algebra ->  Equations -> SOLUTION: Find the value of the following integrals  Cos^2x+3cosx+2/2+cosx dx  ( e^× + 1) ( e^x - 1 ) dx intervals between 0 to 1       Log On


   



Question 1082559: Find the value of the following integrals 
Cos^2x+3cosx+2/2+cosx dx 
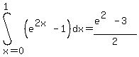
( e^× + 1) ( e^x - 1 ) dx intervals between 0 to 1


Found 2 solutions by Fombitz, Edwin McCravy:
Answer by Fombitz(32388) About Me  (Show Source):
Answer by Edwin McCravy(20056) About Me  (Show Source):
You can put this solution on YOUR website!
Fombitz has done your second problem correctly.

Your first problem is stated as this:

Cos^2x+3cosx+2/2+cosx dx
Since there are no parentheses, I cannot tell
what is a numerator and what is a denominator.
I am guessing that your problem is as follows:

int%28%28cos%5E2%28x%29%2B3cos%28x%29%2B2%2F%282%2Bcosx%29%29%2Cdx%29

If you will use the thank-you note form below to 
tell me whether this is what you mean, or that 
it is different, then I will get back to you by 
email.

Edwin