SOLUTION: Use the elimination method to find the TWO solutions of this system. Mark TWO answers.
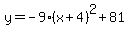
{y=9(x+4)^2 – 81
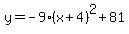
{y=−9(x+4)^2+81
(3, 0)
(-3, 0)
(5, 0)
(-1, 0)
Algebra ->
Equations
-> SOLUTION: Use the elimination method to find the TWO solutions of this system. Mark TWO answers.
{y=9(x+4)^2 – 81
{y=−9(x+4)^2+81
(3, 0)
(-3, 0)
(5, 0)
(-1, 0)
Log On
You can put this solution on YOUR website! Use the elimination method to find the TWO solutions of this system. Mark TWO answers.
{y=9(x+4)^2 – 81
{y=−9(x+4)^2+81
(3, 0)
(-3, 0)
(5, 0)
(-1, 0)
(-7, 0)
(-9, 0)
------- eq (i) ----- eq (ii)
2y = 0 ------- Adding eqs (ii) & (i)
y = 0
------- Substituting 0 for y in eq (i) ---------- Adding 81 to both sides ------------- Dividing each side by 9 -------- Taking square root of both sides
x = 3 - 4, OR x = - 3 - 4
x = - 1 OR x = - 7
Solutions:
That's how SIMPLE this is!!