Question 107637: find all the values of x satisfying the given conditions
1 2 -4
y1= --- , ----, ---------, and y1+y2=y3
x+7 x+3 x^2+10+21
Answer by solver91311(24713) (Show Source):
You can put this solution on YOUR website! Your problem as written doesn't make sense, but I'm going to make an assumption that does and go with that. What I think you meant was:
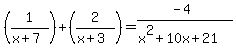
, , , and
That means we can say:
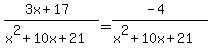
To add the two terms on the left side, we need a Lowest Common Denominator, given by:
Now we have:
Simplify:
Since the denominators are equal on both sides, the numerators must be equal as well for the statement to be true, therefore:


But that causes a problem because -7 is not in the domain of either the y1 or y3 functions. x=-7 leads to a zero denominator in each case. Therefore, there are no values of x that satisfy the given conditions. Presuming my assumptions about the construct of the original problem were correct, that is.
|
|
|