SOLUTION: Reena rode her skateboard to her uncle's house, 12 miles away. A wheel broke just as she arrived, so Reena borrowed her uncle's bicycle to return home. Traveling by bicycle, she wa

Algebra ->  Equations -> SOLUTION: Reena rode her skateboard to her uncle's house, 12 miles away. A wheel broke just as she arrived, so Reena borrowed her uncle's bicycle to return home. Traveling by bicycle, she wa      Log On


   



Question 1071216: Reena rode her skateboard to her uncle's house, 12 miles away. A wheel broke just as she arrived, so Reena borrowed her uncle's bicycle to return home. Traveling by bicycle, she was able to go twice as fast, and returned home in 2 hours less time than it took to go to her uncle's house. How long did it take Reena to get home on the bicycle?
Found 4 solutions by josgarithmetic, josmiceli, MathTherapy, ikleyn:
Answer by josgarithmetic(39632) About Me  (Show Source):
You can put this solution on YOUR website!
              SPEED       TIME      DISTANCE
SKATE          r           t          12
BIKE          2r          t-2         12


system%28rt=12%2C%282r%29%28t-2%29=12%29

2rt-4r=12
2%2A12-4r=12
2%2A3-r=3
-r=3-6
highlight%28r=3%29----------speed on skateboard

rt=12
t=12%2Fr
t=12%2F3
highlight%28t=4%29---------time, hours, on skateboard

t-2=highlight%282%29-------time going back by bicycle

Answer by josmiceli(19441) About Me  (Show Source):
You can put this solution on YOUR website!
Let +s+ = her speed skateboarding to uncle's house
+2s+ = her speed biking home
Let +t+ = time in hrs to skateboard to uncle's house
+t+-+2+ = time in hrs to return home by bike
------------------------------------------------------
Equation for skateboarding:
(1) +12+=+s%2At+
Equation for biking:
(2) +12+=+2s%2A%28+t+-+2+%29+
----------------------------
(1) +s+=+12%2Ft+
Plug this result into (2)
(2) +12+=+2%2A%28+12%2Ft+%29%2A%28+t+-+2+%29+
(2) +6+=+12+-+24%2Ft+
(2) +6+=+24%2Ft+
(2) +6t+=+24+
(2) +t+=+4+ hrs
and
(1) +12+=+s%2A4+
(1) +s+=+3+ mi/hr
----------------------
+t+-+2+=+4+-+2+
+t+-+2+=+2+
It took her 2 hrs to get home by bike
----------------------
check:
(2) +12+=+2s%2A%28+t+-+2+%29+
(2) +12+=+2%2A3%2A%28+4+-+2+%29+
(2) +12+=+6%2A2+
(2) +12+=+12+
OK


Answer by MathTherapy(10559) About Me  (Show Source):
You can put this solution on YOUR website!

Reena rode her skateboard to her uncle's house, 12 miles away. A wheel broke just as she arrived, so Reena borrowed her uncle's bicycle to return home. Traveling by bicycle, she was able to go twice as fast, and returned home in 2 hours less time than it took to go to her uncle's house. How long did it take Reena to get home on the bicycle?
Let time taken to ride home, be T
Then time taken, by skateboard = T + 2
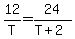
We then get the following SPEED equation: 12%2FT+=+2%2812%2F%28T+%2B+2%29%29 ======> 12%2FT+=+24%2F%28T+%2B+2%29
24T = 12(T + 2) -------- Cross-multiplying
12(2T) = 12(T + 2)______12(2T) = 12(T + 2)
2T = T + 2_____2T - T = 2
Time taken to ride home, or T = highlight_green%28matrix%281%2C2%2C+2%2C+hours%29%29

Answer by ikleyn(52943) About Me  (Show Source):
You can put this solution on YOUR website!
.
Reena rode her skateboard to her uncle's house, 12 miles away. A wheel broke just as she arrived, so Reena borrowed
her uncle's bicycle to return home. Traveling by bicycle, she was able to go twice as fast, and returned home in 2 hours less time
than it took to go to her uncle's house. How long did it take Reena to get home on the bicycle?
~~~~~~~~~~~~~~~~~~~~~

More short and straightforward solution:

Let   s = her speed skateboarding to uncle's house
Then 2s = her speed biking home

Let   t = time in hrs to skateboard to uncle's house
Then  t - 2 = time in hrs to return home by bike

The distance to there d = st.
The distance back     d = 2s*(t-2).

The distance is the same:  st = 2s*(t-2)   --->  cancel the factor s in both sides  --->

t = 2(t-2)  -->  t = 2t - 4  --->  t = 4.

Thus the time skateboarding is 4 hours.

Hence, the time bicycling is 4 - 2 = 2 hours.