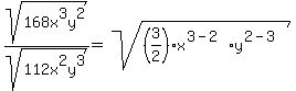
SOLUTION: Simplify. sqrt(168x^3y^2)/sqrt(112x^2y^3)
Algebra
->
Equations
-> SOLUTION: Simplify. sqrt(168x^3y^2)/sqrt(112x^2y^3)
Log On
Algebra: Equations
Section
Solvers
Solvers
Lessons
Lessons
Answers archive
Answers
Click here to see ALL problems on Equations
Question 1056268
:
Simplify.
sqrt(168x^3y^2)/sqrt(112x^2y^3)
Answer by
Fombitz(32388)
(
Show Source
):
You can
put this solution on YOUR website!