Instead of doing yours for you, I will change the numbers,
do it step by step. Then you can use it as a model to do
yours exactly the same way step by step:
4x + 5y = 21
{ y = -3x + 4
Write
4x + 5y = 21
Take out the y and put in (-3x + 4) in place of it
4x + 5(-3x + 4) = 21
Remove the parentheses by distributing the "+ 5" times
the "-3x", getting "- 15x" and also multiplying the "+ 5"
times the "+ 4" getting "+ 20", so write "- 15x + 20"
in place of + 5(-3x + 4)
4x - 15x + 20 = 21
Combine the "4x - 15x" as -11x, so write -11x instead of
"4x - 15x":
-11x + 20 = 21
Add - 20 to both sides:
-11x + 20 - 20 = 21 - 20
The + 20 and the - 20 cancel out on the left,
so we just have -11x on the left. On the right
we replace the 21 - 20 by 1
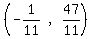
-11x = 1
We divide both sides by -11


Then the -11's cancel, and the right side becomes
.
So that means


Now we take the original second equation:
y = -3x + 4
And we substitute
for x
y = -3
+ 4
Multiply the -3 by the
, getting
y =
+ 4
Get the least common denominator which is 11 by multiplying
the +4 by
which just amounts to multiplying by 1:
y =
+ 4
So we have
y =
+
or
y =
So the solution is (x,y) =
Now do yours exactly the same way.
Edwin