SOLUTION: How can this equation be rewritten so the left side is a factored perfect square? {{{ 3x^2 - 4x = 2 }}} A.) {{{ (x - 2/3)^2 = 10/9 }}} B.) {{{ (x - 4/3)^2 = 22/9 }}} C.

Algebra ->  Equations -> SOLUTION: How can this equation be rewritten so the left side is a factored perfect square? {{{ 3x^2 - 4x = 2 }}} A.) {{{ (x - 2/3)^2 = 10/9 }}} B.) {{{ (x - 4/3)^2 = 22/9 }}} C.      Log On


   



Question 1030990: How can this equation be rewritten so the left side is a factored perfect square?
+3x%5E2+-+4x+=+2+
A.) +%28x+-+2%2F3%29%5E2+=+10%2F9+
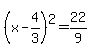
B.) +%28x+-+4%2F3%29%5E2+=+22%2F9+
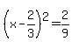
C.) +%28x+-+2%2F3%29%5E2+=+2%2F9+
D.) +%28x+-+4%2F3%29%5E2+=+10%2F9+
Thanks in advance :)

Answer by Alan3354(69443) About Me  (Show Source):
You can put this solution on YOUR website!
How can this equation be rewritten so the left side is a factored perfect square?
+3x%5E2+-+4x+=+2+
--------
+x%5E2+-+%284%2F3%29x+=+2%2F3+
+x%5E2+-+%284%2F3%29x+%2B+4%2F9+=+2%2F3+%2B+4%2F9+
%28x+-+2%2F3%29%5E2+=+10%2F9