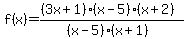
SOLUTION: What would the graph of f(x) = (3x + 1) (x - 5) (x + 2) / (x-5)(x+1) look like at (x=5) and (x= -1) ? Explain.
Algebra ->
Equations
-> SOLUTION: What would the graph of f(x) = (3x + 1) (x - 5) (x + 2) / (x-5)(x+1) look like at (x=5) and (x= -1) ? Explain.
Log On
No point for x=5 and no point for x=-1. f(x) is undefined for those x values.
Just a missing point along the curve for x=5, because the function shows a factor of .
Vertical asymptote for x=-1, because the root is only found in the denominator of f. You can check signs near x=-1 on both sides to have a clearer idea what the graph will look like there.
Obviously you will not see the missing point at x=5 on this presentation of the graph, but you would indicate this if done on graph paper.
(The display here is not too good, but you can plug the formula into another graphing tool.)