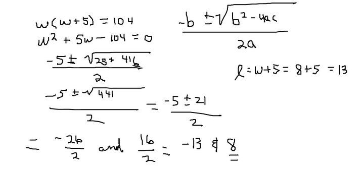
SOLUTION: The length of the top of a table is 5 m greater than the width. The area is 104 m^2. What is the width of the table? What is the length of the table?

Algebra ->  Equations -> SOLUTION: The length of the top of a table is 5 m greater than the width. The area is 104 m^2. What is the width of the table? What is the length of the table?       Log On


   



Question 1002655: The length of the top of a table is 5 m greater than the width. The area is 104 m^2. What is the width of the table? What is the length of the table?
Answer by fcabanski(1391) About Me  (Show Source):