SOLUTION: 6/z+7 +7/z-6 over 6/z-6-7/z+7

Algebra ->  Divisibility and Prime Numbers -> SOLUTION: 6/z+7 +7/z-6 over 6/z-6-7/z+7      Log On


   



Question 914921: 6/z+7 +7/z-6 over 6/z-6-7/z+7
Answer by Edwin McCravy(20060) About Me  (Show Source):
You can put this solution on YOUR website!

%286%2F%28z%2B7%29+%2B7%2F%28z-6%29%29%2F%286%2F%28z-6%29-7%2F%28z%2B7%29%29

%286%2F%28z%2B7%29+%2B7%2F%28z-6%29%29%22%F7%22%286%2F%28z-6%29-7%2F%28z%2B7%29%29

Get LCD and combine the fractions in each

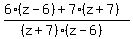
%286%28z-6%29%2B7%28z%2B7%29%29%2F%28%28z%2B7%29%28z-6%29%29%22%F7%22%286%28z%2B7%29-7%28z-6%29%29%2F%28%28z-6%29%28z%2B7%29%29

%286z-36%2B7z%2B49%29%2F%28%28z%2B7%29%28z-6%29%29%22%F7%22%286z%2B42-7z%2B42%29%2F%28%28z-6%29%28z%2B7%29%29

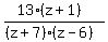
%2813z%2B13%29%2F%28%28z%2B7%29%28z-6%29%29%22%F7%22%2884-z%29%2F%28%28z-6%29%28z%2B7%29%29

%2813%28z%2B1%29%29%2F%28%28z%2B7%29%28z-6%29%29%22%D7%22%28z-6%29%28z%2B7%29%2F%2884-z%29

%2813%28z%2B1%29%29%2F%28%28cross%28z%2B7%29%29%28cross%28z-6%29%29%29%22%D7%22%28cross%28z-6%29%29%28cross%28z%2B7%29%29%2F%2884-z%29

%2813%28z%2B1%29%29%2F%2884-z%29


Edwin