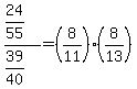
SOLUTION: 24/55 divided by 39/40
Algebra
->
Divisibility and Prime Numbers
-> SOLUTION: 24/55 divided by 39/40
Log On
Algebra: Divisibility and Prime Numbers
Section
Solvers
Solvers
Lessons
Lessons
Answers archive
Answers
Click here to see ALL problems on Divisibility and Prime Numbers
Question 374865
:
24/55 divided by 39/40
Answer by
Fombitz(32388)
(
Show Source
):
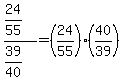
You can
put this solution on YOUR website!