SOLUTION: solve and check 1/2+4m=3m-5/2
Algebra
->
Divisibility and Prime Numbers
-> SOLUTION: solve and check 1/2+4m=3m-5/2
Log On
Algebra: Divisibility and Prime Numbers
Section
Solvers
Solvers
Lessons
Lessons
Answers archive
Answers
Click here to see ALL problems on Divisibility and Prime Numbers
Question 330131
:
solve and check 1/2+4m=3m-5/2
Answer by
privani(34)
(
Show Source
):
You can
put this solution on YOUR website!
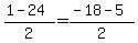
Solve:
Check: