SOLUTION: Ok, I'm stumped. Divide the rational expressions. x^4-x^3+x^2+x / x^3-4x^2+x-4 (these are the numerators) 2x^3+2x^2+x+1 / 2x^3-8x^2+x-4 (these are the denominators) Here's

Algebra ->  Divisibility and Prime Numbers -> SOLUTION: Ok, I'm stumped. Divide the rational expressions. x^4-x^3+x^2+x / x^3-4x^2+x-4 (these are the numerators) 2x^3+2x^2+x+1 / 2x^3-8x^2+x-4 (these are the denominators) Here's       Log On


   



Question 103551: Ok, I'm stumped. Divide the rational expressions.
x^4-x^3+x^2+x / x^3-4x^2+x-4 (these are the numerators)
2x^3+2x^2+x+1 / 2x^3-8x^2+x-4 (these are the denominators)
Here's what I have.
X(x^3-x^2+x)* 2x^2(x-4)+(x-4) nuerators
2x^2(x+1)(x+1) * x^2 (x-4)(x-4) denominators
now I'm stumped on factoring the first numerator

Answer by jim_thompson5910(35256) About Me  (Show Source):
You can put this solution on YOUR website!
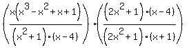
Start with the given expression


Multiply the first fraction by the reciprocal of the second fraction


Factor out an x out of the first numerator


Factor the first denominator through the use of factoring by grouping



Factor the second denominator through the use of factoring by grouping



Cancel like terms



%28x%28x%5E3-x%5E2%2Bx%2B1%29%2F%28x%5E2%2B1%29%29%2A%281%2F%28x%2B1%29%29 Simplify


Since this expression cannot be simplified or factored further, this is our answer