SOLUTION: how can i calculate 2^.4 and (1/2)^.4 without using calculator in short time??

Algebra ->  Decimal-numbers -> SOLUTION: how can i calculate 2^.4 and (1/2)^.4 without using calculator in short time??      Log On


   



Question 985494: how can i calculate 2^.4 and (1/2)^.4 without using calculator in short time??
Answer by macston(5194) About Me  (Show Source):
You can put this solution on YOUR website!
.
You should precede decimals by zero to prevent misinterpretation.
.
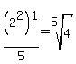
2%5E0.4=2%5E%282%2F5%29=%282%5E2%29%5E1%2F5=root%285%2C4%29
There is no easy way from here to do this quickly.
The same with:
%281%2F2%29%5E0.4=%281%5E0.4%29%282%5E0.4%29=1%2F%28root%285%2C4%29%29
No quick way. You estimate, multiply out, average, multiply out, etc.
It is a slow process.