SOLUTION: 32x^2+24x-11 divided by 4x

Algebra ->  Decimal-numbers -> SOLUTION: 32x^2+24x-11 divided by 4x      Log On


   



Question 225321: 32x^2+24x-11 divided by 4x
Answer by LtAurora(115) About Me  (Show Source):
You can put this solution on YOUR website!
Assuming:
%2832x%5E2%2B24x-11%29%2F4x
We can rewrite to this:
, and x%5E2%2Fx=x. So, our first term becomes:
%288x%2B24x%2F4x-11%2F4x%29
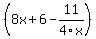
The second term: 24%2F4=6 and x%2Fx=1. So, the second term becomes:
%288x%2B6-11%2F4x%29
The last term: 11/4 does not give us an integer, so we leave it in the 11/4 form. And the x term does not cancel with another x, so our final answer remains:
%288x%2B6-11%2F4x%29