SOLUTION: The perimeter of a rectangle is 72cm. If the length is increased by 20% and the width is decreased by 25% the perimeter remains the same . calculate the length and width of the o

Algebra ->  Coordinate Systems and Linear Equations  -> Linear Equations and Systems Word Problems -> SOLUTION: The perimeter of a rectangle is 72cm. If the length is increased by 20% and the width is decreased by 25% the perimeter remains the same . calculate the length and width of the o      Log On


   



Question 990404: The perimeter of a rectangle is 72cm. If the length is increased by 20% and the width is decreased by 25% the perimeter remains the same . calculate the length and width of the original rectangle
Found 2 solutions by josgarithmetic, MathTherapy:
Answer by josgarithmetic(39618) About Me  (Show Source):
You can put this solution on YOUR website!
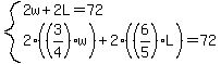
system%282w%2B2L=72%2C2%28%283%2F4%29w%29%2B2%28%286%2F5%29L%29=72%29

w for width
L for length
20% increase is a factor, 1%2B20%2F100=1%2B1%2F5=6%2F5;
25% decrease is a factor 3%2F4.

You will have two linear equations, which you can simplify, and then solve as a system for w and L.

Answer by MathTherapy(10552) About Me  (Show Source):
You can put this solution on YOUR website!

The perimeter of a rectangle is 72cm. If the length is increased by 20% and the width is decreased by 25% the perimeter remains the same . calculate the length and width of the original rectangle
Let original length and width be L, and W, respectively
Then: Perimeter = 2(L + W) --------> 2(L + W) = 72 ------- 2(L + W) = 2(36) ------> L + W = 36______W = 36 - L
Increasing length by 20% makes new length: 1.2L
Decreasing width by 25% makes new width: .75(36 - L), or 27 - .75L
We then get: 2(1.2L) + 2(27 - .75L) = 72
2.4L + 54 - 1.5L = 72
2.4L - 1.5L = 72 - 54
.9L = 18
L, or original length = 18%2F.9, or highlight_green%2820%29 cm
Original width: 36 - 20, or highlight_green%2816%29 cm