SOLUTION: If 3xz - 3yz = 60 and z = 5 then what would be the answer for x - y?
Algebra
->
Coordinate Systems and Linear Equations
->
Linear Equations and Systems Word Problems
-> SOLUTION: If 3xz - 3yz = 60 and z = 5 then what would be the answer for x - y?
Log On
Linear Solvers
Linear
Practice
Practice
Answers archive
Answers
Word Problems
Word
Lessons
Lessons
In depth
In
Click here to see ALL problems on Linear Equations And Systems Word Problems
Question 832214
:
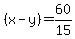
If 3xz - 3yz = 60 and z = 5 then what would be the answer for x - y?
Answer by
Fombitz(32388)
(
Show Source
):
You can
put this solution on YOUR website!