SOLUTION: Barney has some money. He spends £10 on a meal and then one-quarter of what he has left on a taxi home. He now has half of what he started with. How much did Barney have at the s

Algebra ->  Coordinate Systems and Linear Equations  -> Linear Equations and Systems Word Problems -> SOLUTION: Barney has some money. He spends £10 on a meal and then one-quarter of what he has left on a taxi home. He now has half of what he started with. How much did Barney have at the s      Log On


   



Question 675341: Barney has some money.
He spends £10 on a meal and then one-quarter of what he has left on a taxi home. He now has half of what he started with.
How much did Barney have at the start?
I first thought that since he had half left and said that he spent 1/4 on the taxi, the £10 that he spent on the meal must have also been 1/4 so he must have begun with £40 however compared to the other questions in the homework paper it seemed to obvious? Please help!

Answer by ewatrrr(24785) About Me  (Show Source):
You can put this solution on YOUR website!
 
Hi
He spends £10 on a meal and then one-quarter of what he has left on a taxi home.
He now has half of what the highlight%28x%29he started with.
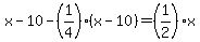
Best to Set it Up Algebraically:
x+-+10+-+%281%2F4%29%28x-10%29+=+%281%2F2%29x |Multiplying thru by 4 so as all denominators = 1
4x-40 - (x-10) = 2x
x = £30, amount he started with
and...
£30 - £10 - £5 = £15