SOLUTION: nine divided by the difference of a number and 3 minus 8 divided by a number plus 3,equals 6 times the reciprocal of the difference of the squared and 9. what is the number?
Question 669916: nine divided by the difference of a number and 3 minus 8 divided by a number plus 3,equals 6 times the reciprocal of the difference of the squared and 9. what is the number? Answer by ReadingBoosters(3246) (Show Source):
You can put this solution on YOUR website!
...
Multiply the entire equation by
...
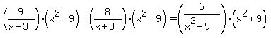
is the same as
...
Cancel out terms
...
Distribute
9x + 27 - 8x + 24 = 6
...
Combine like terms
x = 6 - 27 - 24
...
Check
.....................
Delighted to help.
-Reading Boosters
Wanting for others what we want for ourselves.
www.MyHomeworkAnswers.com