SOLUTION: A painter can do a given job in 6 hours. Her helper can do the same job in 10 hours. The painter begins the work and after two hours is joined by the helper. In how many hours will
Question 667142: A painter can do a given job in 6 hours. Her helper can do the same job in 10 hours. The painter begins the work and after two hours is joined by the helper. In how many hours will they complete the job? Answer by josmiceli(19441) (Show Source):
You can put this solution on YOUR website! A painter can do a given job in 6 hours.
The painter can do 1/6 of the job in 1 hour
The painter can do 2/6 or 1/3 of the job in 2 hours
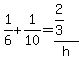
That means 2/3 of the job is left to be done
Add their rates of working to get the rate at
which they can do the remaining 2/3 of a job
Let = hours needed to do the 2/3 of a job
Multiply both sides by
They will complete the job in 2 and 1/2 hours