SOLUTION: The numerator of a fraction is 4 less than the denominator. If 17 is added to each, the value of the fraction is 5/6. Find the original fraction. I first got this for setting it

Algebra ->  Coordinate Systems and Linear Equations  -> Linear Equations and Systems Word Problems -> SOLUTION: The numerator of a fraction is 4 less than the denominator. If 17 is added to each, the value of the fraction is 5/6. Find the original fraction. I first got this for setting it      Log On


   



Question 365419: The numerator of a fraction is 4 less than the denominator. If 17 is added to each, the value of the fraction is 5/6. Find the original fraction.
I first got this for setting it up:
d-4=n
but i think this part is wrong
(17+d)+(17+n)=5/6
please help me answer and solve this problem

Answer by mananth(16946) About Me  (Show Source):
You can put this solution on YOUR website!
The numerator of a fraction is 4 less than the denominator. If 17 is added to each, the value of the fraction is 5/6. Find the original fraction.
let denominatore be d
numerator = d-4
..
Fraction = (d-4)/d
..
%28%28d-4%29%2B17%29+%2F+%28d%2B17%29+=+5%2F6%29
..
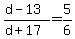
%28d-13%29%2F%28d%2B17%29=5%2F6
6(d-13)=5(d+17)
6d-78=5d+85
6d-5d=85+78
d=163
numerator = 163-4 = 159
fraction = 159/163
...
m.ananth@hotmail.ca