SOLUTION: The population of the US was 151 nillion in 1950 and 249 million in 1990. find the slope of the line through the 2 points defined by the population data. Write a linear equation

Algebra ->  Coordinate Systems and Linear Equations  -> Linear Equations and Systems Word Problems -> SOLUTION: The population of the US was 151 nillion in 1950 and 249 million in 1990. find the slope of the line through the 2 points defined by the population data. Write a linear equation       Log On


   



Question 282709: The population of the US was 151 nillion in 1950 and 249 million in 1990.
find the slope of the line through the 2 points defined by the population data.
Write a linear equation to model the population fo the US t years after 1950

Answer by oberobic(2304) About Me  (Show Source):
You can put this solution on YOUR website!
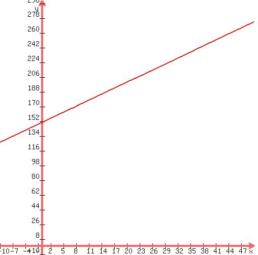
Start with 1950, which which we are told should be year t=0.
y = 151 million in 1950.
y = mx + b is the slope-intercept form.
.
We're using the year to predict the population, so t=x-axis.
The population is plotted on y-axis as the dependent variable.
.
So we would define it as:
y = mt + 151, which define defines the point (0,151)
.
1990 would be t=40
1990 population is 249 million
So it would be plotted at (40,249)
.
The slope = rise/run
rise = change in y = 249-151 = 98
run = change in x = change in t = 40-0 = 40
m = slope
m = 98/40
.
That means our equation is:
.
y = 98/40*t + 151
.
Graph it to check
.
graph%28500%2C500%2C-10%2C50%2C-10%2C300%2C98%2F40%2Ax%2B151%29
.