SOLUTION: Determine the slope of the tangent to y=1/1-x at the point (2,-1) without constructing a table. Explain what you are doing.

Algebra ->  Coordinate Systems and Linear Equations  -> Linear Equations and Systems Word Problems -> SOLUTION: Determine the slope of the tangent to y=1/1-x at the point (2,-1) without constructing a table. Explain what you are doing.      Log On


   



Question 254184: Determine the slope of the tangent to y=1/1-x at the point (2,-1) without constructing a table. Explain what you are doing.
Found 2 solutions by drk, solver91311:
Answer by drk(1908) About Me  (Show Source):
You can put this solution on YOUR website!
The question was
Determine the slope of the tangent to y=1/(1-x) at the point (2,-1) without constructing a table.
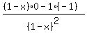
step 1 - take the derivative of the function. We use the quotient rule to get
(i) %28%281-x%29%2A0+-+1%2A%28-1%29%29+%2F+%281-x%29%5E2
and then
(ii) 1+%2F+%281-x%29%5E2
Now put two into (ii) to get the slope at 2. We get
(ii) 1+%2F+%281-2%29%5E2 = 1.
So slope = 1 and passes through (2,-1)
Y = mx + b
-1 = 2*1 + b
b = -3.
answer:
Y = 2x - 3.

Answer by solver91311(24713) About Me  (Show Source):
You can put this solution on YOUR website!


Take the first derivative of the function. Use the Chain Rule.

Let

So:



by the power rule and



therefore



also by the power rule

and then, by the chain rule:



Then the slope of the line tangent to at is given by . In this case:



John