Question 204734: State the center and the radius of the circle given X^2-10X+y^2-8y=8.
I dont even know how to solve this. Answer by Earlsdon(6294) (Show Source):
You can put this solution on YOUR website! Start with te general form of the equation of a circle with center at (h, k) and radius r.
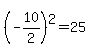
The given equation is: First, group the terms as shown: Now you need to "complete the squares" in both the x-terms and the y-terms. You do this by adding the square of half the x-coefficient and the square of half the y=coefficient to both sides of the equation.
The square of half the x-coefficient is: and the square of half the y-coefficient is: so... On the left side, factor the x-group and factor the y-group. Now compare this with the general form from above:
You can see that: , , and
So the center (h, k) is at (5, 4) and the radius, or