SOLUTION: The American National Standards Institute (ANSA) states that the slope for a wheelchair ramp must not exceed 1/12. A. A ramp for a wheelchair must be 15 inches high. What is the

Algebra ->  Coordinate Systems and Linear Equations  -> Linear Equations and Systems Word Problems -> SOLUTION: The American National Standards Institute (ANSA) states that the slope for a wheelchair ramp must not exceed 1/12. A. A ramp for a wheelchair must be 15 inches high. What is the       Log On


   



Question 140814: The American National Standards Institute (ANSA) states that the slope for a wheelchair ramp must not exceed 1/12.
A. A ramp for a wheelchair must be 15 inches high. What is the minimum length of this ramp so that it meets the ANSI requirements?
B. Does a ramp that is 14 inches high and 180 inches long meet the ANSI requirement?

Answer by josmiceli(19441) About Me  (Show Source):
You can put this solution on YOUR website!
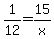
The slope is the vertical / horizontal
(A)
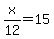
1%2F12+=+15%2Fx
x%2F12+=+15
x+=+12%2A15
x+=+180in.
(B)
Yes
14%2F180+=+.0777 which is less than 1%2F12+=+.0833