SOLUTION: Solve for k in the equation kx²-2kx+5=0, if the sum of the roots is 4. What is the product of the roots?

Algebra ->  Coordinate Systems and Linear Equations  -> Linear Equations and Systems Word Problems -> SOLUTION: Solve for k in the equation kx²-2kx+5=0, if the sum of the roots is 4. What is the product of the roots?      Log On


   



Question 1196803: Solve for k in the equation kx²-2kx+5=0, if the sum of the roots is 4. What is the product of the roots?
Found 2 solutions by math_tutor2020, ikleyn:
Answer by math_tutor2020(3817) About Me  (Show Source):
You can put this solution on YOUR website!

kx^2-2kx+5 = 0 is in the form ax^2+bx+c = 0 with
a = k
b = -2k
c = 5

According to Vieta's Formulas, we know that for quadratics the sum of the roots is -b/a and the product is c/a

sum of roots = -b/a
product of roots = c/a

The value of -b/a in this case is:
-b/a = -(-2k)/k
-b/a = 2
So the sum of the roots is 2 and not 4.
Your teacher made a typo somewhere.

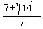
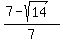
For instance, if k = 7, then we have kx%5E2-2kx%2B5+=+0 turn into 7x%5E2-14x%2B5+=+0
Turn to the quadratic formula to find the two roots being %287%2Bsqrt%2814%29%29%2F7 and %287-sqrt%2814%29%29%2F7
The sum of these two roots is 2.

---------------------------------------------------------

Here's a proof of Vieta's Formulas when applying the quadratic case.

Let p and q be the two roots of a quadratic
This means x = p and x = q are solutions to ax^2+bx+c = 0 aka x^2 + (b/a)x + (c/a) = 0
We can get everything to one side to get x-p = 0 and x-q = 0
Then apply the zero product property getting (x-p)(x-q) = 0

Then expand and follow these steps
(x-p)(x-q) = 0
x(x-q) - p(x-q) = 0
x^2-qx - px + pq = 0
x^2 - (p+q)x + pq = 0

Comparing that to x^2 + (b/a)x + (c/a) = 0 shows:
b/a = x coefficient = -(p+q) = sum of the roots
c/a = constant = pq = product of the roots

Then as one last final step we turn the
b/a = -(p+q)
into
p+q = -b/a
to help match the original statement made about Vieta's formulas

Answer by ikleyn(52788) About Me  (Show Source):
You can put this solution on YOUR website!
.

As it is worded, printed and posted, this "problem" is dead from the very moment of its creation.