SOLUTION: Solve each problem by writing a linear function. When a new car is purchased, it immediately begins to lose value, or depreciate. If its depreciation is a linear function and a $28

Algebra ->  Coordinate Systems and Linear Equations  -> Linear Equations and Systems Word Problems -> SOLUTION: Solve each problem by writing a linear function. When a new car is purchased, it immediately begins to lose value, or depreciate. If its depreciation is a linear function and a $28      Log On


   



Question 1191234: Solve each problem by writing a linear function. When a new car is purchased, it immediately begins to lose value, or depreciate. If its depreciation is a linear function and a $28,550 new car depreciates to a value of $13,500 over a seven-year period, what is the rate of change? Write a linear function that models the value of the car over time. Use your function to predict the value of the car when it is ten years old.
Answer by josgarithmetic(39620) About Me  (Show Source):
You can put this solution on YOUR website!
-----------------------------------------------------
depreciation is a linear function and a $28,550 new car depreciates to a value of $13,500 over a seven-year period, what is the rate of change?
-----------------------------------------------------

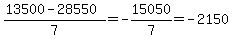
Point on a line (0,28550), with slope %2813500-28550%29%2F7=-15050%2F7=-2150. You can write the equation (or the function) in slope-intercept form.