SOLUTION: Solve the linear equations: A + B + C = 0 4A - 10B = 3 -10B + 5C = 6

Algebra ->  Coordinate Systems and Linear Equations  -> Linear Equations and Systems Word Problems -> SOLUTION: Solve the linear equations: A + B + C = 0 4A - 10B = 3 -10B + 5C = 6      Log On


   



Question 117615This question is from textbook basic technical mathematics with calculus
: Solve the linear equations:
A + B + C = 0
4A - 10B = 3
-10B + 5C = 6
This question is from textbook basic technical mathematics with calculus

Answer by Fombitz(32388) About Me  (Show Source):
You can put this solution on YOUR website!
1.A+%2B+B+%2B+C+=+0
2.4A+-+10B+=+3
3.-10B+%2B+5C+=+6
The quickest and easiest way is to use equations 2 and 3 and find expressions for A and C in terms of B and then substitute those into equation 1.
You then solve for B and go back and solve for A and C.
2.4A+-+10B+=+3
4A=3%2B10B
A=%283%2B10B%29%2F4
3.-10B+%2B+5C+=+6
5C=6%2B10B
C=%286%2B10B%29%2F5
Now go back to equation 1.
1.A+%2B+B+%2B+C+=+0
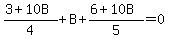
%283%2B10B%29%2F4+%2B+B+%2B%286%2B10B%29%2F5+=+0
Let's multiply both sides by (4*5) to get rid of the denominators.
%283%2B10B%29%2F4+%2B+B+%2B%286%2B10B%29%2F5+=+0
5%283%2B10B%29%2B20B%2B4%286%2B10B%29=0
15%2B50B%2B20B%2B24%2B40B=0
110B%2B39=0
110B=-39
highlight%28B=-39%2F110%29
From our derivation above for A,
A=%283%2B10B%29%2F4
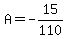
4A=3%2B10%28-39%2F110%29
4A=330%2F110-390%2F110%29
4A=-60%2F110%29
A=-15%2F110%29
highlight%28A=-3%2F22%29%29
From equation 1,
A%2BB%2BC=0
-15%2F110-39%2F110%2BC=0
C=%2839%2B15%29%2F110
C=54%2F110
highlight%28C=27%2F55%29