SOLUTION: Write 9/400 as the difference of two consecutive number with exponent as –2

Algebra ->  Coordinate Systems and Linear Equations  -> Linear Equations and Systems Word Problems -> SOLUTION: Write 9/400 as the difference of two consecutive number with exponent as –2      Log On


   



Question 1118712: Write 9/400 as the difference of two consecutive number with exponent as –2
Found 3 solutions by greenestamps, josgarithmetic, ikleyn:
Answer by greenestamps(13203) About Me  (Show Source):
You can put this solution on YOUR website!


The language is not standard usage; I don't know what it means ("...with exponent as -2").

If I were to guess, I would say the problem is to find consecutive integers x and x+1 for which

%281%2Fx%29%5E2-%281%2F%28x%2B1%29%29%5E2+=+9%2F400

However, I'm not inclined to spend a lot of time and effort on a problem and then find out that my interpretation was not right.

So re-post your question using standard terminology, so we know what problem to help you with.

Answer by josgarithmetic(39626) About Me  (Show Source):
You can put this solution on YOUR website!
Not too clear!

x and x+1 so that %28x%2B1%29%5E%28-2%29-x%5E%28-2%29=9%2F400?
Maybe better if as x%5E%28-2%29-%28x%2B1%29%5E2=9%2F400;

or maybe %28%28x%2B1%29-x%29%5E%28-2%29=9%2F400?
This second interpretation is no good.

Answer by ikleyn(52858) About Me  (Show Source):
You can put this solution on YOUR website!
.
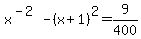
Write 9/400 as the difference of two consecutive integer highlight%28cross%28number%29%29 numbers with highlight%28cross%28exponent%29%29 exponents highlight%28cross%28as%29%29 –2.
~~~~~~~~~~~~~~~~~~~~~~~~~~~~~~~~~~

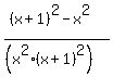
1%2Fx%5E2 - 1%2F%28x%2B1%29%5E2 = 9%2F400


%28%28x%2B1%29%5E2+-x%5E2%29%2F%28%28x%5E2%2A%28x%2B1%29%5E2%29%29 = 9%2F400


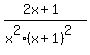
%282x%2B1%29%2F%28x%5E2%2A%28x%2B1%29%5E2%29 = 9%2F400.


At this point, the solution can be find mentally and momentarily:  x = 4.


Check.   At x= 4,  %282x%2B1%29%2F%28x%5E2%2A%28x%2B1%29%5E2%29 = %282%2A4%2B1%29%2F%284%2A5%29%5E2 = 9%2F20%5E2 = 9%2F400.   ! Correct !

By the way,  x= -5  also works and is another solution :   1%2F%28-4%29%5E2 - 1%2F%28-5%29%5E2%29 = 9%2F400.

===============

OK,  I admit that you don't know English perfectly.

But do you know at least your native language ? ?