SOLUTION: please solve this one 2y^2+5xy=1.........(1) 3x-2y=-6.........(2)

Algebra ->  Coordinate Systems and Linear Equations  -> Linear Equations and Systems Word Problems -> SOLUTION: please solve this one 2y^2+5xy=1.........(1) 3x-2y=-6.........(2)      Log On


   



Question 1049309: please solve this one
2y^2+5xy=1.........(1)
3x-2y=-6.........(2)

Answer by Edwin McCravy(20060) About Me  (Show Source):
You can put this solution on YOUR website!
please solve this one

system%282y%5E2%2B5xy=1%2C3x-2y=-6%29

Solve the second equation for x

3x-2y%22%22=%22%22-6
3x%22%22=%22%22-6%2B2y
x%22%22=%22%22%28-6%2B2y%29%2F3

Substitute %28%28-6%2B2y%29%2F3%29 for x in the
first equation:

2y%5E2%2B5xy%22%22=%22%221
2y%5E2%2B5%28%28-6%2B2y%29%2F3%29y%22%22=%22%221
6y%5E2%2B5%28-6%2B2y%29y%22%22=%22%223
6y%5E2%2B5y%28-6%2B2y%29%22%22=%22%223
6y%5E2-30y%2B10y%5E2%22%22=%22%223
16y%5E2-30y%22%22=%22%223
16y%5E2-30y-3%22%22=%22%220
y%22%22=%22%22%28-b+%2B-+sqrt%28b%5E2-4ac+%29%29%2F%282a%29+ 
y%22%22=%22%22%28-%28-30%29+%2B-+sqrt%28%28-30%29%5E2-4%2816%29%28-3%29+%29%29%2F%282%2816%29%29+ 
y%22%22=%22%22%2830+%2B-+sqrt%28900%2B192%29%29%2F32+
y%22%22=%22%22%2830+%2B-+sqrt%281092%29%29%2F32+
y%22%22=%22%22%2830+%2B-+sqrt%284%2A273%29%29%2F32+
y%22%22=%22%22%2830+%2B-+2sqrt%28273%29%29%2F32+
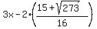
y%22%22=%22%22%282%2815+%2B-+sqrt%28273%29%29%29%2F32+
y%22%22=%22%22%2815+%2B-+sqrt%28273%29%29%2F16+


Two values of y, y%22%22=%22%22%2815+%2B+sqrt%28273%29%29%2F16+ and y%22%22=%22%22%2815+-+sqrt%28273%29%29%2F16+

Substituting the first in

3x-2y%22%22=%22%22-6

3x-2%28%2815+%2B+sqrt%28273%29%29%2F16%29%22%22=%22%22-6

3x-%28%2815+%2B+sqrt%28273%29%29%2F8%29%22%22=%22%22-6

24x-%2815+%2B+sqrt%28273%29%29%22%22=%22%22-48

24x-15+-+sqrt%28273%29%22%22=%22%22-48

24x+-+sqrt%28273%29%22%22=%22%22-33

24x%22%22=%22%22-33+%2B+sqrt%28273%29

x%22%22=%22%22%28-33+%2B+sqrt%28273%29%29%2F24

So one solution is

%28matrix%281%2C3%2Cx%2C%22%2C%22%2Cy%29%29%22%22=%22%22

---------------------

Substituting the second in

3x-2y%22%22=%22%22-6

3x-2%28%2815+-+sqrt%28273%29%29%2F16%29%22%22=%22%22-6

3x-%28%2815+-+sqrt%28273%29%29%2F8%29%22%22=%22%22-6

24x-%2815+-+sqrt%28273%29%29%22%22=%22%22-48

24x-15+%2B+sqrt%28273%29%22%22=%22%22-48

24x+%2B+sqrt%28273%29%22%22=%22%22-33

24x%22%22=%22%22-33+-+sqrt%28273%29

x%22%22=%22%22%28-33+-+sqrt%28273%29%29%2F24

So the other solution is

%28matrix%281%2C3%2Cx%2C%22%2C%22%2Cy%29%29%22%22=%22%22

Edwin