SOLUTION: Herbert went trick or treating on Halloween. On his way home, he ate 17 candies. Then, he gave one-quarter ( 1/4 ) of his leftover candies to his brother. Then, he had 90 candies l
Question 1023255: Herbert went trick or treating on Halloween. On his way home, he ate 17 candies. Then, he gave one-quarter ( 1/4 ) of his leftover candies to his brother. Then, he had 90 candies left. How many candies did he have before he ate 17? Answer by robertb(5830) (Show Source):
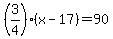
You can put this solution on YOUR website! Let x = original number of candies
Then...
==>
==> x = 137, the original number of candies...