SOLUTION: Completing the square 2x² - 8x - 9 = 0

Algebra ->  Coordinate Systems and Linear Equations  -> Lessons  -> Linear Equations Lesson -> SOLUTION: Completing the square 2x² - 8x - 9 = 0      Log On


   



Question 78113: Completing the square
2x² - 8x - 9 = 0

Answer by bucky(2189) About Me  (Show Source):
You can put this solution on YOUR website!
2x%5E2+-+8x+-+9+=+0
.
Don't forget, when you do a problem using the method of completing the square, you want the
coefficient or multiplier of the x%5E2 term to be 1. Therefore, in this problem
the first thing you want to do is to divide both sides of the equation by 2. When you do
that the problem becomes:
.
x%5E2+-+4x+-%289%2F2%29+=+0
.
Next, look at the x term. Its multiplier or coefficient is -4. Divide it by 2 and square
the result. The division by 2 gives you -2, and squaring the -2 results in +4.
.
What you do next is to add +4 to the left side. But, if you add +4 then you need to
also subtract 4 so you don't change the equation. When you do this you have:
.
x%5E2+-4x+%2B+4+-+4+-%289%2F2%29+=+0
.
For the time being you don't want to mess with the x%5E2+-4x+%2B+4 because that is
your perfect square. But you can combine the -4+-+%289%2F2%29 to get:
.
-4+-+%289%2F2%29+=+-8%2F2+-+9%2F2+=+-17%2F2
.
Substituting this into the equation results in:
.
x%5E2+-4x+%2B+4+-%2817%2F2%29+=+0
.
You want to get it so only the perfect square is on the left side. So eliminate the term
-17%2F2 from the left side by adding %2817%2F2%29 to both sides to get:
.
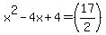
x%5E2+-+4x+%2B+4+=+%2817%2F2%29
.
Now convert the left side to its equivalent square and this results in:
.
%28x-2%29%5E2+=+17%2F2
.
Note that the -2 is the same as we got by taking half of the coefficient of the -4x in
the original problem when we were working on creating the perfect square.
.
Now you can solve this for x by taking the square root of both sides. When you do that
you get:
.
x+-+2+=+sqrt%2817%2F2%29 and x+-+2+=+-sqrt%2817%2F2%29
.
Notice that the two results show that you are going to get two answers that differ
only by the sign on the square root term ... one with a + and one with a - sign.
.
Finally, to solve for just x, add +2 to both sides to get:
.
x+=+2%2B-sqrt%2817%2F2%29
.
It is standard practice not to have a radical term in the denominator. So multiply
the sqrt%2817%2F2%29 by sqrt%282%29%2Fsqrt%282%29 and it becomes:
.

.
Substituting this results into the equation for x results in the more standard form of:
.
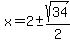
x+=+2+%2B-+sqrt%2834%29%2F2
.
and putting all terms over the common denominator of 2 gives you:
.
x+=+%284+%2B-sqrt%2834%29%29%2F2
.
and that is the form you are more likely to get by using the quadratic formula ... a
formula that you will likely learn soon if you haven't already.
.
Hope these details help you to understand the process of completing the square a little more.