SOLUTION: I am having a hard time figuring out (a).. I have no idea how to set it up and solve- any help would be much appreciated!!!! In 2004, there were an estimated 39 million HIV in

Algebra ->  Coordinate Systems and Linear Equations  -> Lessons  -> Linear Equations Lesson -> SOLUTION: I am having a hard time figuring out (a).. I have no idea how to set it up and solve- any help would be much appreciated!!!! In 2004, there were an estimated 39 million HIV in      Log On


   



Question 450936: I am having a hard time figuring out (a).. I have no idea how to set it up and solve- any help would be much appreciated!!!!

In 2004, there were an estimated 39 million HIV infections worldwide with an annual infection rate of 4.9 million.

a. Find the slope intersect form of a line that approximates the cumulative number of HIV infections in million during year X, where X ≥ 2004.
b. Estimate the number of HIV infections in 2010.

Answer by jorel1380(3719) About Me  (Show Source):
You can put this solution on YOUR website!
y=39*10^7+4.9*10^7x
If you want to graph it in millions:
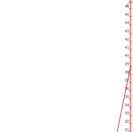
y=4.9x+39
graph%28400%2C600%2C-80%2C80%2C-80%2C80%2C4.9x%2B39%29
Solved by pluggable solver: DESCRIBE a linear EQUATION: slope, intercepts, etc
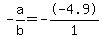
Equation -4.9+x+%2B+1+y+=+39 describes a sloping line. For any
equation ax+by+c = 0, slope is -a%2Fb+=+--4.9%2F1.
  • X intercept is found by setting y to 0: ax+by=c becomes ax=c. that means that x = c/a. 39/-4.9 = -7.95918367346939.
  • Y intercept is found by setting x to 0: the equation becomes by=c, and therefore y = c/b. Y intercept is 39/1 = 39.
  • Slope is --4.9/1 = 4.9.
  • Equation in slope-intercept form: y=4.9*x+39.