SOLUTION: The system of equations below has multiple solutions, all of which satisfy the equation y=4/3x-2. What is the value of a? 8x-6y=12 12x-ay=18 a. -6 b. 9 c. 14 d. 18

Algebra ->  Coordinate Systems and Linear Equations  -> Lessons -> SOLUTION: The system of equations below has multiple solutions, all of which satisfy the equation y=4/3x-2. What is the value of a? 8x-6y=12 12x-ay=18 a. -6 b. 9 c. 14 d. 18      Log On


   



Question 987529: The system of equations below has multiple solutions, all of which satisfy the equation y=4/3x-2. What is the value of a?
8x-6y=12
12x-ay=18
a. -6
b. 9
c. 14
d. 18

Found 2 solutions by algebrahouse.com, MathLover1:
Answer by algebrahouse.com(1659) About Me  (Show Source):
You can put this solution on YOUR website!
Since they have multiple solutions, they should all look the same when put into slope-intercept form.

y = (4/3)x - 2 {first equation is already in slope-intercept form}

8x - 6y = 12 {second equation}
-6y = -8x + 12 {subtracted 8x from each side}
y = (4/3)x - 2 {divided each side by -6, getting into slope-intercept form}

Notice the second equation is now the same as the first, when put into slope-intercept form.

12x - ay = 18 {third equation}
-ay = -12x + 18 {subtracted 12x from each side}
y = (12/a)x + (-18/a) {divided each side by -a}

The question, now, is what number would make the 12/a into 4/3 and the -18/a into -2?

9 would

b.) 9

For more help from me, visit: www.algebrahouse.com



Answer by MathLover1(20850) About Me  (Show Source):
You can put this solution on YOUR website!

8x-6y=12
12x-ay=18+
-----------------
8x-12=6y
12x-18=ay
-------------
8x%2F6-12%2F6=y
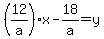
12x%2Fa-18%2Fa=y
-------------
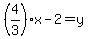
%284%2F3%29x-2=y
%2812%2Fa%29x-18%2Fa=y
-------------
this will be equal only if:
4%2F3=12%2Fa=>a=9
18%2Fa=2=>a=9
so, your answer is: a=9