SOLUTION: Solve the system of equations by graphing Y=-2x+9 Y=1/3x+2

Algebra ->  Coordinate Systems and Linear Equations  -> Lessons -> SOLUTION: Solve the system of equations by graphing Y=-2x+9 Y=1/3x+2      Log On


   



Question 983028: Solve the system of equations by graphing
Y=-2x+9
Y=1/3x+2

Answer by Edwin McCravy(20056) About Me  (Show Source):
You can put this solution on YOUR website!
system%28y=-2x%2B9%2C%0D%0Ay=expr%281%2F3%29x%2B2%29

First we look at the first equation:

y=-2x%2B9

The slope is -2 which has a 1 denominator %28-2%29%2F1
The y-intercept is 9.  So we start at 9 on the y-axis
and go down 2 units (since it's negative) and go right 1 unit,
like this:

 

Then we take a ruler and draw a straight line through where
we started and where we ended, like this:

 

Now we look at the second line,

y=expr%281%2F3%29x%2B2

The slope is 1%2F3.  The y-intercept is 2.  So we start at 2
on the y-axis and go up 1 unit (since it's positive) and go right 
3 units,  like this:



[Wow! that pokes right in to the other line!]  Then we take the
ruler and draw a straight line through where we started and where 
we ended, like this:



Now we can tell where they cross.  Right there where that poked
into the first line.  If you draw a line straight down to the
x-axis, you see that the x-coordinate is 3.



There's already a line straight over the the y-axis, so you can
now see that the y-coordinate is also 3.  That means that the
solution is (x,y) = (3,3).

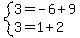
We can now check to make sure it's correct by substituting x=3 and 
y=3 in both original equations:

system%28y=-2x%2B9%2C%0D%0Ay=expr%281%2F3%29x%2B2%29

system%283=-2%283%29%2B9%2C%0D%0Ay=expr%281%2F3%29%283%29%2B2%29

system%283=-6%2B9%2C%0D%0A3=1%2B2%29

system%283=3%2C%0D%0A3=3%29

So it checks.

Edwin