SOLUTION: Solve the system of linear equations by graphing 3x+y=9 6x=2y+6

Algebra ->  Coordinate Systems and Linear Equations  -> Lessons -> SOLUTION: Solve the system of linear equations by graphing 3x+y=9 6x=2y+6      Log On


   



Question 980603: Solve the system of linear equations by graphing
3x+y=9
6x=2y+6

Answer by MathLover1(20850) About Me  (Show Source):
You can put this solution on YOUR website!

3x%2By=9
6x=2y%2B6
----------------------
3x%2By=9
6x-2y=6
-------------------
Solved by pluggable solver: Solve the System of Equations by Graphing



Start with the given system of equations:


3x%2By=9

6x-2y=6





In order to graph these equations, we need to solve for y for each equation.




So let's solve for y on the first equation


3x%2By=9 Start with the given equation



1y=9-3x Subtract 3+x from both sides



1y=-3x%2B9 Rearrange the equation



y=%28-3x%2B9%29%2F%281%29 Divide both sides by 1



y=%28-3%2F1%29x%2B%289%29%2F%281%29 Break up the fraction



y=-3x%2B9 Reduce



Now lets graph y=-3x%2B9 (note: if you need help with graphing, check out this solver)



+graph%28+600%2C+600%2C+-10%2C+10%2C+-10%2C+10%2C+-3x%2B9%29+ Graph of y=-3x%2B9




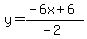
So let's solve for y on the second equation


6x-2y=6 Start with the given equation



-2y=6-6x Subtract 6+x from both sides



-2y=-6x%2B6 Rearrange the equation



y=%28-6x%2B6%29%2F%28-2%29 Divide both sides by -2



y=%28-6%2F-2%29x%2B%286%29%2F%28-2%29 Break up the fraction



y=3x-3 Reduce





Now lets add the graph of y=3x-3 to our first plot to get:


+graph%28+600%2C+600%2C+-10%2C+10%2C+-10%2C+10%2C+-3x%2B9%2C3x-3%29+ Graph of y=-3x%2B9(red) and y=3x-3(green)


From the graph, we can see that the two lines intersect at the point (2,3) (note: you might have to adjust the window to see the intersection)