SOLUTION: Solve for ordered pair 2x + 2y = 10 3x - 1/2y = 11
Algebra
->
Coordinate Systems and Linear Equations
->
Lessons
-> SOLUTION: Solve for ordered pair 2x + 2y = 10 3x - 1/2y = 11
Log On
Linear Solvers
Linear
Practice
Practice
Answers archive
Answers
Word Problems
Word
Lessons
Lessons
In depth
In
Click here to see ALL problems on Linear-systems
Question 950595
:
Solve for ordered pair
2x + 2y = 10
3x - 1/2y = 11
Answer by
Fombitz(32388)
(
Show Source
):
You can
put this solution on YOUR website!
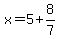
From the first equation,
So then,
Substituting into the second equation,
So then,