SOLUTION: Find the ordered triple pair (x,y,z) for the following system: [(3xy/x+y)]=5, [(2xz)/(x+z)=3)], [(yz)/(y+z)]=4 I tried multiplying to get rid of the fraction on the bottom but

Algebra ->  Coordinate Systems and Linear Equations  -> Lessons -> SOLUTION: Find the ordered triple pair (x,y,z) for the following system: [(3xy/x+y)]=5, [(2xz)/(x+z)=3)], [(yz)/(y+z)]=4 I tried multiplying to get rid of the fraction on the bottom but       Log On


   



Question 896982: Find the ordered triple pair (x,y,z) for the following system:
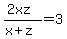
[(3xy/x+y)]=5, [(2xz)/(x+z)=3)], [(yz)/(y+z)]=4
I tried multiplying to get rid of the fraction on the bottom but still end up with the combined variables. I think I need to do something with the reciprocals to break them apart, but I am totally stuck. Thanks.

Answer by richwmiller(17219) About Me  (Show Source):
You can put this solution on YOUR website!
If you mean
%283xy%29%2F%28x%2By%29=5
%282xz%29%2F%28x%2Bz%29=3
%28yz%29%2F%28y%2Bz%29=4
then
x = 120/61, y = 120/11, z = 120/19