Question 79732: Please help me solve the following two questions:
and
Answer by erimir(14) (Show Source):
You can put this solution on YOUR website! Let's start by solving equation #1.

{removing parentheses}
{-4+5=1}}}
{moving +1 from left side to right side, negating the element (+1 ==> -1), and moving +7x from right side to left side, negating this element too (-7x ==> 7x)}
{2x+7x=9x and -9-1=-10}}}
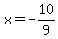
{diving everything by 9 to get the value of x}
Then equation #2, which is a little bit more complicated:

Now, to get rid of the fractions (a fraction is when you have a number over another, as for example or ), we need to find the common denominator. This is an important step. Now we look at what is in the fractions where we find the denominator. On the left side of the equation, this is 2. On the right side, it is x. The common denominator may be found by multiplying these two numbers, and we get 2x. Now let us multiply each of the fractions by 2x.



{diving 10x by 2 = 5x, and 50x by x gives 50}
{diving each side by 5, giving us the final answer}}}
If you insert the value of x into the equation you may control that the answers are correct.
Cheers,
Eric
|
|
|